절댓값 그래프 (3)
절댓값 그래프의 유형들을 보면
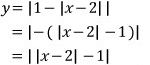
① 절댓값 안에 또 절댓값
② 평행이동
③ x의 계수가 음수
차례대로 한번 그려보겠습니다.
① 절댓값 안에 또 절댓값
그냥 안에서부터 차례대로 그리면 됩니다.
먼저
y축 방향으로 -1만큼 평행이동
마지막으로 전체 절댓값
간단하죠..?!
각각의 그래프가 이해가 잘 안되면
'절댓값 그래프 (1)', '절댓값 그래프 (2)' 참고요~
하나 더 해볼까요
먼저
y축 방향으로 1만큼 평행이동
마지막으로 전체 절댓값
어라..?! 앞에서 그린 그래프와 똑같네요
그 이유는 아마도 이 글 마지막에 나올 듯요 ;;
또 하나 더 해보면
이런 건 셤에는 거의 나오지 않지만
그래도 하는 김에 한번 그려보는 것도 뭐... ;;
다시 y축 방향으로 -1만큼 평행이동
마지막으로 다시 전체 절댓값
뭐... 이런 식이라면
절댓값이 몇 개가 씌워져 있든
얼마든지 그래프를 그릴 수 있겠죠..?! ;;
② 평행이동
먼저
평행이동 하기 전의 그래프부터 그리고
x축 방향으로 1만큼
y축 방향으로 -3만큼 평행이동
간단하죠..?!
역시 각각의 그래프가 이해가 잘 안되면
'절댓값 그래프 (1)', '절댓값 그래프 (2)' 참고요~
하나 더 해보면
먼저
평행이동 하기 전의 그래프부터 그리고
x축 방향으로 1만큼
y축 방향으로 -3만큼 평행이동
③ x의 계수가 음수
절댓값은
안에 마이너스가 있으나 없으나 같습니다. 즉
따라서
이걸 그리라고 하면
부호 바꿔서
이걸 그리면 됩니다.
그렇기 때문에
이 두 그래프의 모양은 똑같습니다.
하나 더 해보면
이 두 그래프의 모양도 똑같습니다.
마지막으로 하나 더
이 두 그래프의 모양도 똑같습니다.
그래프가 이해가 잘 안되나요..? 그럼
'절댓값 그래프 (1)', '절댓값 그래프 (2)' 참고요~
아... 참... 깜박할 뻔 했네요
처음에 그렸던
두 그래프의 모양이 왜 똑같았는지 이제 이해가 되죠..?!
이 정도 했으면 뭐...
절댓값 그래프는 거의 완벽..!! ^-^// ;;
요기로 가면 → www.gajok.co.kr/math.html
다른 글들도 편리하게 볼 수 있습니다.


















댓글
댓글 쓰기